
Induktive Allzahnhärtung
FVA 660 III | IGF-Nr. 20723 N
Tragfähigkeit und Festigkeitseigenschaften induktiv allzahngehärteter Zahnräder
Das Vorgängervorhaben zeigte, dass induktivgehärtete Verzahnungen ein großes Tragfähigkeitspotenzial aufweisen. Jedoch konnten nicht alle Fragestellungen abschließend geklärt werden und es zeigten sich neue Forschungsfelder.
Ziel des aktuellen Forschungsvorhabens ist es daher, ausgehend von den im Vorgängervorhaben FVA 660 I erarbeiteten Ergebnissen, die induktive Wärmebehandlung weiter zu optimieren, um das Tragfähigkeitspotenzial induktiv gehärteter, geradverzahnter Zahnräder voll ausschöpfen zu können. Hierzu wurden Untersuchungen zum optimalen Härtetiefenverlauf bei unterschiedlichen Härtekonturen durchgeführt. Bisherige Untersuchungen zeigen, dass das Durchhärten der Zahnflanke zwar durch einfachere Prozesse realisiert werden kann, es jedoch zur Gefahr des Bruchs der Zahnflanke kommt. Demgegenüber steht das aufwendigere Verfahren des konturnahen Härtens, bei dem die Zahnflankentragfähigkeit gesteigert werden kann. Zudem wurden die Möglichkeiten und Grenzen zur Substituierung des Ofenanlassprozesses durch ein induktives Kurzzeitanlassen aufgezeigt. Untersuchungen zur induktiven Wärmebehandlung von Schrägverzahnungen durch eine umfassende Charakterisierung der Wärmebehandlungsergebnisse und zur Bestimmung der Zahnradtragfähigkeit schrägverzahnter Prüfräder runden das Forschungsvorhaben ab. Darauf basierend fand eine Weiterentwicklung der Zahnradtragfähigkeitsrechnung nach Norm, insbesondere aber die Entwicklung eines erweiterten, lokalen Berechnungsansatzes, in welchem lokale Lastspannungen mit maßgebenden Werkstoffeigenschaften wie Härteverlauf, Eigenspannungszustand und Gefügeausbildung in geeigneter Weise verknüpft sind, statt.
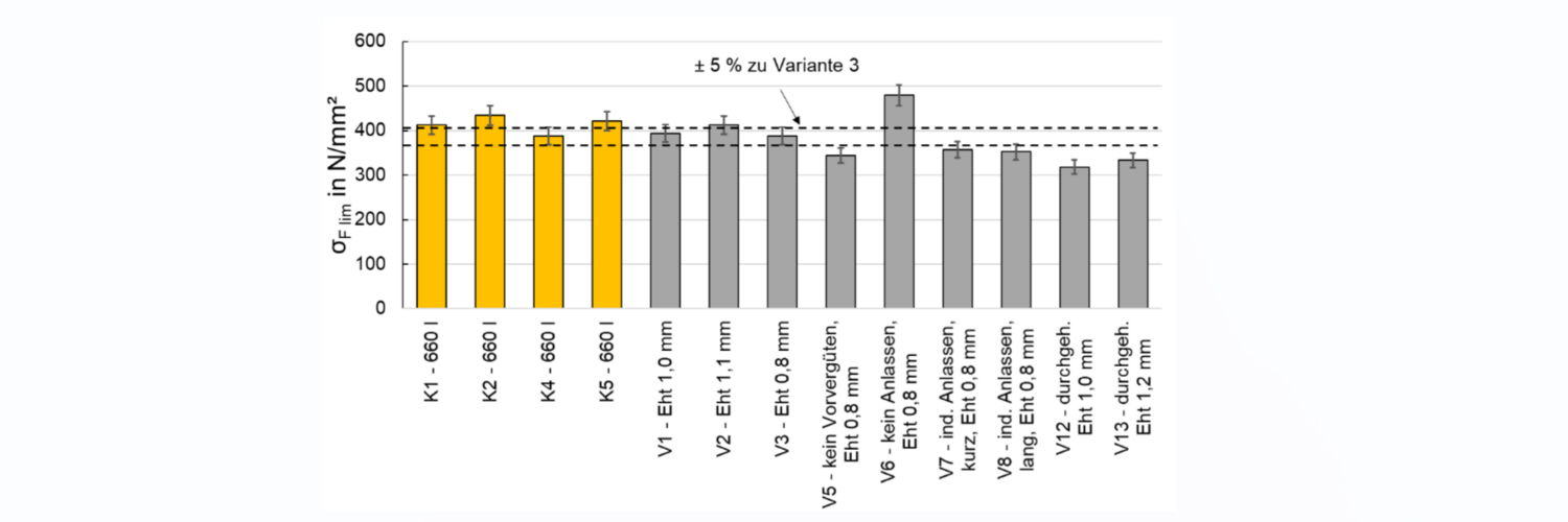
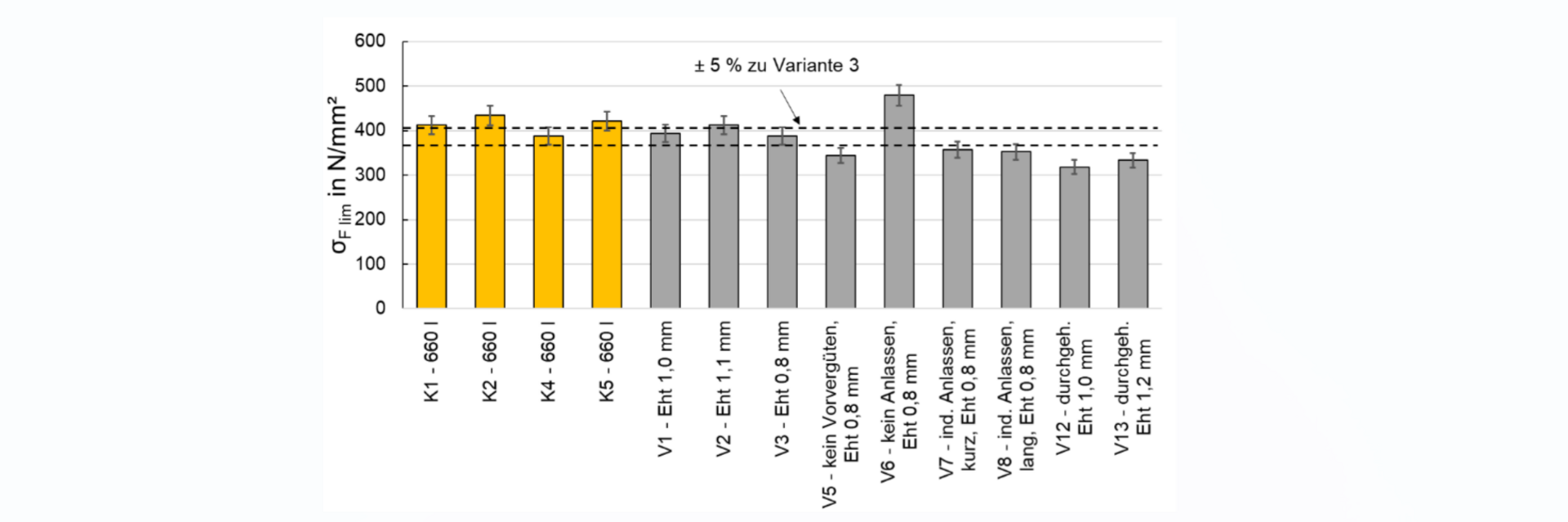
Die Ergebnisse der Tragfähigkeitsuntersuchungen zeigen, dass sowohl die Zahnfußtragfähigkeit als auch die Grübchentragfähigkeit höher liegen als die aktuellen Angaben nach ISO 6336 5 für induktivgehärtete Zahnräder. Es konnten verschiedene Einflüsse auf die Zahnfußtragfähigkeit herausgearbeitet werden. Die Zahnflankentragfähigkeit der untersuchten Varianten ist im Rahmen der üblichen Versuchsstreuung nahezu identisch. Ein signifikanter Einfluss der verschiedenen untersuchten Parameter auf die Zahnflankentragfähigkeit kann daher für die vorliegenden Varianten ausgeschlossen werden. Basierend auf den aktuellen Ergebnissen sowie den Ergebnissen des Vorgängervorhabens wurde für die Zahnfußtragfähigkeit ein neues Festigkeitskennfeld vorgeschlagen. Für die Zahnflankentragfähigkeit ist die Datenbasis für ein neues Festigkeitskennfeld zu gering, bzw. können die Varianten aufgrund vergleichbarer Zahnflankentragfähigkeit nicht ausreichend differenziert werden. Die Übertragbarkeit der gewonnenen Erkenntnisse auf die Schrägverzahnungen ist gegeben.
Das IGF-Vorhaben IGF-Nr. 20723 N der Forschungsvereinigung Antriebstechnik e.V. (FVA) wurde im Rahmen des Programms zur Förderung der Industriellen Gemeinschaftsforschung (IGF) vom Bundesministerium für Wirtschaft und Energie (BMWE) aufgrund eines Beschlusses des Deutschen Bundestages mit den Mitteln der IGF gefördert.
